いまさらアルゴリズムを学ぶ意味コーディングに役立つ! アルゴリズムの基本(1) (1/3 ページ) 本連載ではアルゴリズムを学ぶ、または学び直すことで、プログラミングのスキル 多くのプログラミング言語でサポートされてる を計算する関数のアルゴリズムです。 Input pow (2,4) (x=2, n=4) Output 16 べき乗は非常に大きな数値になるため、オーバーフロー この記事では、Python であまり(剰余)を求める方法を解説します。Pythonでは %演算子 を使うことで簡単にあまりを求めることができます。あまりを使うことで奇遇を判別したり、秒
探索アルゴリズムとは 基本から応用まで分かりやすく解説します
余り アルゴリズム
余り アルゴリズム- まず、 割り算 した結果( 整数 )と 割る数 を掛けた値を、 割られる数 から引いた値が 余り です。 例2)の 割り算 した結果は1で、これを 割る数 5と掛けると5、これを 割られる数モジュロ演算を実装するためのより良い方法(アルゴリズムの質問) (4) あなたがそこで何を計算しているのかがはっきりしない。 モジュロ演算について話しますが、通常、モジュロ演算は2つの数値 a



ユークリッドの互除法まとめ 証明 最大公約数 不定方程式 理系ラボ
余りを求める % 演算子(x % y) x / y の余りで、整数値を返します。 >>> 4 % 2 0 >>> 5 % 3 2 operator mod(a, b)と等価です >>> import operator >>> operatormod(5, 3) 2 <参照>



最大公約数を求めるアルゴリズム Ouyou



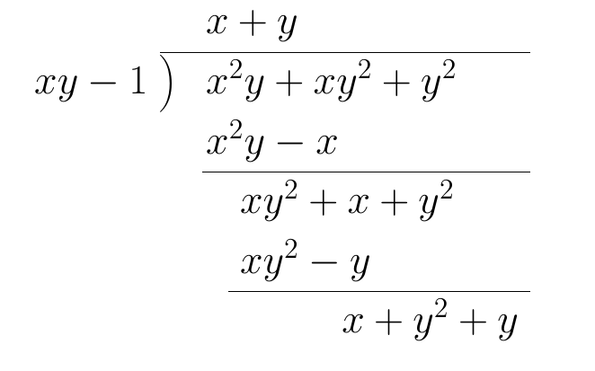
除算アルゴリズム 整商と剰余 絶対最小剰余 Excel Vba 数学教室



一週間で身につくアルゴリズムとデータ構造 入門編6日目 アルゴリズムの例



Sophia404 Com



0197 Pck Prelim Challenges Aizu Online Judge



Rsa暗号とは 仕組みや応用事例を初心者にもわかりやすく解説 Itトレンド



一週間で身につくアルゴリズムとデータ構造 入門編4日目 アルゴリズムの例



Scratchで 割り算のアルゴリズムを考えてみよう おもしろ理科 Preparation Assistant For Scientific Experiments And Observations



تويتر 我が家の地球防衛艦隊 على تويتر 新たな黎明を迎えたオリジナル版ヤマトがこの先どこに向かうのかはまだ分かりませんが きっとそこにはつかみ取れる未来がある そう信じて突き進んでいきたいですね 宇宙戦艦ヤマト アクエリアス アルゴリズム T



アクセス時間 アルゴリズム 計算問題 Isms の解説 1 理解できる よく分かるitパスポート試験の解説



基本アルゴリズムのループのフローチャートのことで質問です M Yahoo 知恵袋



シャーディングとコンシステントハッシュ法



Algorithm



基本情報技術者試験 アルゴリズムとフローチャート Tech Projin



アルゴリズムとは アルゴリズムの基礎知識1 ものづくり まちづくり Btob情報サイト Tech Note



No 69 アルゴリズムとプログラム 情報教育ポータルサイト



グレブナー基底大好きbot 割り算アルゴリズム ここで大事なのは グレブナー基底の定義 でもやったように 割り算 アルゴリズム での余りは 割る順番 によって変わる可能性があるぶなっ つまり 余りが一意的ではない ぶなね では最初の



集中講座 Grasshopper 場合分け どの範囲に該当するか調べるfind Domain Applicraft



フローチャートに関する問題です 正解は140になっているのですが 理由がわかり Yahoo 知恵袋



ユークリッドの互除法まとめ 証明 最大公約数 不定方程式 理系ラボ



集中講座 Grasshopper 場合分け どの範囲に該当するか調べるfind Domain Applicraft



問題7で割ると1余り 9で割ると2余り 11で割ると3余る自然数のうち Yahoo 知恵袋



書記が数学やるだけ 73 合同式の基本操作 中国剰余定理 Writer Rinka Note



書記が数学やるだけ 73 合同式の基本操作 中国剰余定理 Writer Rinka Note



アルゴリズム フローチャートによるユークリッドの互除法 By Masashi Tatsumi



余り算の使い方 数字の周期性と剰余を使って複座な数式を解く方法



アルゴリズムの絵本 第2版 プログラミングが好きになる新しい9つの扉 Seshop 翔泳社の本 電子書籍通販サイト



剰余演算 Wikipedia



Python 割り算の商と余りの求め方 Hbk Project



アルゴリズムとは アルゴリズムの基礎知識1 ものづくり まちづくり Btob情報サイト Tech Note



競プロ 余りの計算 なかけんの数学ノート



Rsa暗号で学ぶ初めてのcommonlisp 素因数分解 試行除算



アルゴリズムをコードにする練習2 最大公約数を求める



書記が数学やるだけ 342 繰り返し自乗法 Mを法としたk乗根の計算 Writer Rinka Note



Phpで数学をしよう 10進数 2進数の変換 エンジニアブログ



アルゴリズムを はじめよう メルカリ



Exercises In Programming



数学の問題で分からないところがあります 図のフローチャートでa Yahoo 知恵袋



2



アルゴリズムの基本 アルゴリズムとフローチャート



アルゴリズム Algorithm とは Ai 機械学習の用語辞典 It



アルゴリズム入門 Q006 2つの文字を交互に並べる 条件分岐と繰り返し Ecf Tech



第1部 アルゴリズムとプログラミングの基礎 2 プログラミングの基礎 プログラミング実習 基礎 2組



毎月アルゴリズム 第7回 Cct Recruit Cct Recruit



第1部 アルゴリズムとプログラミングの基礎 2 プログラミングの基礎 プログラミング実習 基礎 2組



2つの自然数の最大公約数を求めるーユークリッドの互除法 Qiita



アルゴリズムとは何でしょうか Quora



アルゴリズム入門 Q006 2つの文字を交互に並べる 条件分岐と繰り返し Ecf Tech



アルゴリズムをコードにする練習1 素数かどうか判定する



素数判定プログラムを改良 Pythonで数学を学ぼう 第5回 空間情報クラブ インフォマティクス運営のメディアサイト



問題解決のための アルゴリズム 数学 が基礎からしっかり身につく本 米田 優峻 本 通販 Amazon



Stirling 数を P で割った余りの計算 Maspyのhp



いまさらアルゴリズムを学ぶ意味 コーディングに役立つ アルゴリズムの基本 1 3 3 ページ It



Phpで数学をしよう 10進数 2進数の変換 エンジニアブログ



8時間を0 01秒に短縮 アルゴリズムの素晴らしさが2分で分かる動画 が今すぐ勉強したくなる分かりやすさ 1 2 ページ ねとらぼ



剰余演算 Wikipedia



Youtubeの低評価ボタンが おすすめのアルゴリズムに あまり影響しない という調査結果の意味 1 3ページ 産経ニュース



ラメの定理 ユークリッドの互除法の計算回数 Mathclinic



アルゴリズム入門 Q021 3の倍数のときのみ を表示しながら1から指定の数まで表示 Ecf Tech



12年1月日



ユークリッドの互除法とは 証明ややり方をわかりやすく解説 受験辞典



平成17年春期問1 基数変換の流れ図 基本情報技術者試験 Com



Shorのアルゴリズム Speaker Deck



ハッシュ値 ハッシュ関数とは Hash Function 制御工学の基礎あれこれ



コラッツ予想のからくりのまとめ プログラミングの深淵を求めて



Pythonで学ぶユークリッドの互除法 親子でプログラミング



図解 素数とdiffie Hellman鍵交換法 わかりやすい計算例とシーケンス Rfcや種類 アルゴリズムについて Seの道標



Winnie Kuis Kyoto U Ac Jp



続 識別番号のなぜ 服部国際特許事務所 名古屋 所長弁理士 服部雅紀



除算アルゴリズム



アルゴリズムとは アルゴリズムの基礎知識1 ものづくり まちづくり Btob情報サイト Tech Note



ユークリッドの互除法とは 証明ややり方をわかりやすく解説 受験辞典



Python 高速なべき乗計算 繰り返し二乗法 アウトプット雑記



Pythonで学ぶユークリッドの互除法 親子でプログラミング



アルゴリズムを はじめよう インプレスブックス



第1部 アルゴリズムとプログラミングの基礎 2 プログラミングの基礎 プログラミング実習 基礎 2組



12年1月日



Rsa暗号の解説に出てくる数値の逆数のmod なたで日記



探索アルゴリズムとは 基本から応用まで分かりやすく解説します



アルゴリスム 奇数と偶数の判定をする Itドカタ



アルゴリズム入門 Q009 市松模様 Ecf Tech



除算アルゴリズム



2



Q Tbn And9gcq8v Lc7djngmwewdax72v4l1ll66b3kpurs8tqcpyayvkuirswl9iv Usqp Cau



競プロでよく使う二項係数 Nck を素数 P で割った余りの計算と逆元のまとめ アルゴリズムロジック



基本的な演算子



グレブナー基底大好きbot 割り算アルゴリズム Y 1 の先頭項yはlt Xy 1 でもlt Y 2 1 でも割れないので Y 1からyを取り除くぶな 同様に1も取り除いて 最後に0になったので割り算終了ぶなっ ここで取り除いたものの和を 余りとしてみるぶな Http T



集中講座 Grasshopper 場合分け どの範囲に該当するか調べるfind Domain Applicraft



アルゴリズム Atcoder のための数学 前編 数学的知識編 Qiita



シャーディングとコンシステントハッシュ法



ユークリッドの互除法 アルゴ式



Pythonのdivmodで割り算の商と余りを同時に取得 Note Nkmk Me



pアルゴリズム



午後問題の歩き方 地道にアルゴリズム問題に取り組む 1 基本情報技術者試験 受験ナビ



Q Tbn And9gcsbooyzx0m0imomwifoew07e5fyd7kqr3feo8asjmzyuzuy5ddzkisg Usqp Cau



Mukaidono Jp



ハッシュ法とは 過去問解答解説付き Nyanblog にゃんぶろぐ



プログラミング問題を解くai が誕生 一体どんな問題を解いてしまうのか 橋本幸治の理系通信 22年2月22日 Youtube



一週間で身につくアルゴリズムとデータ構造 入門編6日目 アルゴリズムの例



拡張ユークリッドの互除法 一次不定方程式 Ax By C の解き方 Qiita



問題解決のための アルゴリズム 数学 が基礎からしっかり身につく本 米田 優峻 本 通販 Amazon



ユークリッドの互除法で最大公約数 Ouyou


0 件のコメント:
コメントを投稿